Climate change and population growth are leading to an increased demand for water resources globally. As a result, agriculture and urban areas are increasingly relying on groundwater.
However, this over-extraction of groundwater can cause the ground surface to sink, a phenomenon known as subsidence, as the underlying aquifers dry up and the ground structure collapses. A recent study has, for the first time, tracked the loss of groundwater storage capacity on a global scale.
Land subsidence due to excessive groundwater
The study, published in Nature Communications, was conducted by researchers from DRI, Colorado State University, and Missouri University of Science and Technology. It aimed to understand the global dynamics of land subsidence due to excessive groundwater extraction.
Faheem Hasan, a researcher at Colorado State University and the lead author of the study, stated that the research highlights the global issue of subsidence caused by over-pumping of groundwater.

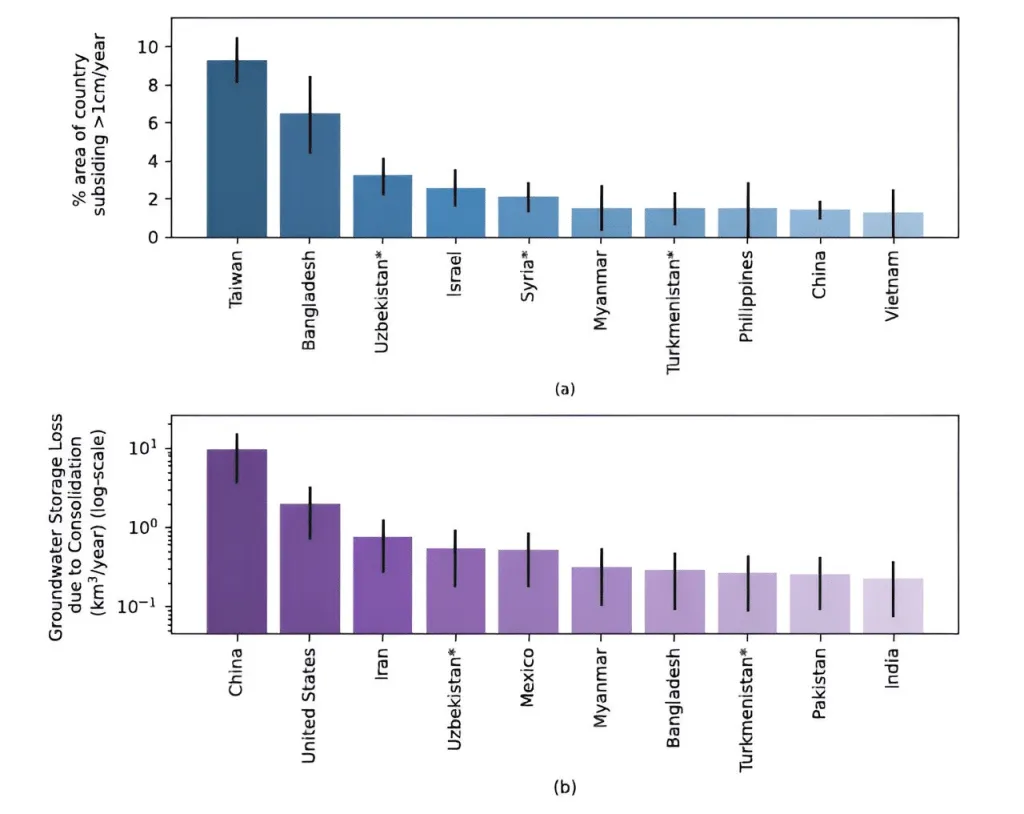
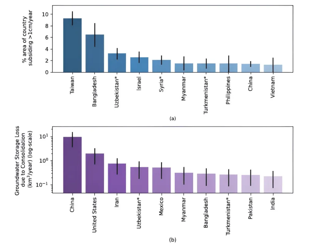
The study found that the world is losing about 17 cubic kilometers of groundwater storage capacity per year, a loss that is permanent and reduces the amount of water that can be collected and stored. Approximately 75% of this decline is happening in agricultural and urban areas, emphasizing the need for improved groundwater management worldwide.
The research team used advanced machine learning techniques to identify and quantify land loss due to groundwater extraction in areas where data is not readily available.
They compiled all publicly available information from federal and state agencies and scientific studies, and then used this data to create a computer model. This model uses land use and climate data to generate statistical predictions for landslide hazards in other areas, such as land subsidence.
The model’s predictive ability was tested by assessing how well it predicted subsidence in areas where subsidence was confirmed. This allowed the researchers to extend the study to include rural and less-studied areas around the world.
Global loss of groundwater storage
The study revealed that the US, China, and Iran are the main contributors to the global loss of groundwater storage, with some areas experiencing land subsidence of more than five cm per year. In arid regions like California and Arizona, massive land subsidence is seen due to reliance on groundwater for irrigation. Urban groundwater use in places like Mexico City also causes significant landslides.
The research predicts high subsidence rates in both irrigated and urban areas of Afghanistan, Uzbekistan, Azerbaijan, and Syria, where no previous data has documented the effects of groundwater withdrawal. However, the study predicts subsidence rates in much of Europe to be less than 1 cm per year.

This subsidence can damage infrastructure and pose problems for coastal areas, which are also at risk from sea level rise. Additional consequences of subsidence include arsenic pollution and saltwater intrusion, both of which can affect the quality of the remaining groundwater.
The researchers noted that the problem is not confined to arid regions; landslides have also been mapped in areas with humid climates such as Bangladesh, India, and Vietnam. This underscores the heavy reliance on groundwater even in areas where rainfall is abundant.
The researchers hope that their data can be used by water managers to understand the scale and extent of groundwater storage loss occurring in their region.
Keep reading
- 193 villages in Madhya Pradesh flood due to Sardar Sarovar’s backwater, who is responsible
- Jammu and Kashmir facing worst impact of climate change
- Climate change leaves Kashmir villages without water
- Climate Change: Impact of Untimely Snowfall on Nomads of Kashmir
- Why are Sheep dying in Kashmir?
Follow Ground Report for Climate Change and Under-Reported issues in India. Connect with us on Facebook, Twitter, Koo App, Instagram, Whatsapp and YouTube. Write us on GReport2018@gmail.com






